Las Matemáticas del Machine Learning: Ejemplos de Regresión Lineal (II) y Multilineal


Por lo tanto, nuestra recta de regresión queda determinada por la siguiente ecuación:

Veamos el coeficiente de correlación, para determinar la “proximidad” de nuestra recta:

Es un valor muy próximo a 1, por lo que la dependencia de las variables es muy directa:
A mayor consumo medio diario de cigarrillos diarios, mayor índice de mortalidad.
Por último calculemos el índice mortal de nuestra población:

Hasta ahora hemos considerado el método lineal, es decir, una variable dependiente y otra independiente, pero ¿qué pasaría si encontramos que una variable depende de más de una variable? Pues bien, cuando tenemos una extensión del modelo lineal, es decir, cuando tenemos más de una variable independiente o explicativa, estaremos hablando del modelo de Regresión Lineal Múltiple, o Multilineal.
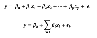
Nuestro modelo sigue de la siguiente relación entre las variables explicativas o independientes (x1,x2,x3,…xn) y la variable respuesta o dependiente (y):

Donde ϵi, sigue una distribución Normal N(0 , σ^2 ), es el error de observación, β0 es el término independiente. Es el valor esperado de y cuando x1,…,xp son cero, βi mide el cambio en y por cada cambio unitario en xi, manteniendo el resto de variables constantes.
¿Qué información muestral tenemos?

Por lo que el valor que el modelo estimado predice para la observación i-ésima es:

Y el error cometido en nuestra predicción será:


nos muestra los valores estimados del modelo. El criterio de mínimos cuadrados asignado valores a nuestros valores estimados, tales que minimiza el valor de la suma de los errores al cuadrado de las observaciones.
Podemos plantear el modelo en forma matricial de la siguiente forma:

o bien:

Para estimar el vector de parámetros β, aplicaremos el método de mínimos cuadrados de manera análoga al modelo lineal simple. El criterio de mínimos cuadrados asigna a los parámetros del modelo el valor que minimiza la suma de errores al cuadrado de todas las observaciones. Así pues sea S la suma de los errores al cuadrado:

Para calcular el mínimo de S, lo que hacemos es primero derivar S con respecto a los parámetros, luego igualar a cero cada derivada (quedándonos un sistema de ecuaciones en el que cada incógnita viene dada por los parámetros que queremos estimar), y por último resolver el sistema de ecuaciones.
En términos matriciales:

Siendo X^T la matriz traspuesta e igualando a 0 obtenemos:

Ejemplo:
Veamos a continuación un ejemplo de un estudio sobre la abundancia (Recuento) de un parásito en 15 localizaciones diferentes en función de su temperatura y la humedad. Los datos obtenidos son los siguientes:


Al parecer tanto la temperatura como la humedad influyen en el recuento:

Sean:

Si aplicamos los cálculos anteriores obtenemos:

En el siguiente artículo, veremos qué conclusiones obtenemos a partir de la muestra, así como la coolinealidad de las variables independientes y cómo estas pueden afectar a nuestro modelo. Por último hablaremos de los contrastes de hipótesis y de los intervalos de confianza.
Esto es todo por hoy ;), hasta el próximo capítulo de nuestra serie de las Matemáticas del Machine Learning. Cualquier duda podéis publicarla como comentario en este mismo artículo.
No te pierdas los artículos anteriores:
- Las Matemáticas del Machine Learning ¿Qué debo saber?
- Las Matemáticas del Machine Learning: explicando la Regresión Lineal (I)
Escrito por Fran Fenoll (@ffenoll16), Fran Ramírez (@cyberhadesblog y @cybercaronte) y Enrique Blanco (@eblanco_h) ambos del equipo de Ideas Locas CDO de Telefónica.